近日,水文与水资源工程学院青年教师马凤博士在期刊《Science of the Total Environment》上发表关于全球夏季复合极端高温事件暴露度风险的研究成果。
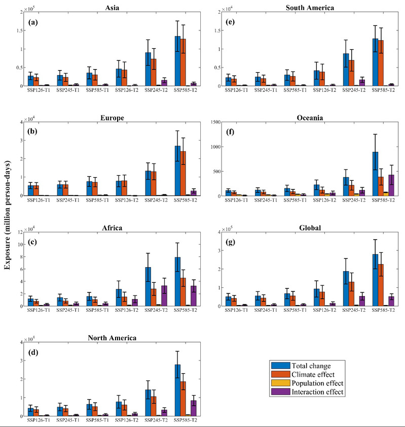
复合极端高温事件指昼、夜温度同时处于历史高温记录前列的现象,由于夜晚持续高温产生的不利影响,人口暴露于复合极端高温事件的危害愈加严重。暴露度风险是气候和人口分布的函数,因此厘清气候和人口变化对暴露于此类事件的影响贡献,对于应对气候变化有着重要意义。该文章基于第六次国际耦合模式比较计划(CMIP6)中多个全球气候模式历史和未来预估数据,分别从全球和洲际尺度分析了未来不同社会经济和排放情景下复合极端高温事件暴露度风险的变化,并结合敏感性试验定量评估了气候和人口变化对人口暴露度风险的贡献。研究结果发现,在中等排放情景下,21世纪末全球人口暴露于复合极端高温事件的比例增加了19倍,低排放情景能够有效缓解增长率,而不受控制的排放情景将使暴露度的增加更加剧烈。全球78%-87%的陆地区域内人口暴露度的变化主要受气候变化的控制,贡献率在69%以上,其次是气候和人口共同变化的结果,约占29%。除一些高纬度地区及澳洲大部分地区外,人口变化的影响非常小。
该论文第一作者为马凤博士,通讯作者为袁星教授。

复合极端高温事件暴露度风险变化的主导因子及其贡献率

各大洲复合极端高温事件暴露度风险的变化及其内部因子变化